品牌元件·达孚制造
每一种电容器,根据其介质的不同,其使用温度也不一样,如果超过其使用温度范围,很容易造成电容器失效。
由于使用温度的变化,电容量也会变化。电容量这种对温度的变化,我们称之为电容量的温度系数(Temperature coefficient),也叫容量变化率,其计算公式随介质的不同,计算方法也不一样。
温度补偿型电容量的温度系数计算公式为:

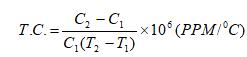
容量C1是温度T1下所测得之电容量;容量C2是温度T2下所测得之电容量。
高介电常数型与半导体型的容量变化率计算公式如下:

NDF达孚电子科技作为专业的电容器/电阻器厂家,多年一直专注于安规电容、陶瓷电容、压敏电阻的研发生产,对于相关技术和行业需求有着深入了解,如需索样及产品报价,可拨打热线:13694925208 曾女士